文件大小:304.42K
介绍模具组立图的绘制注意事项:
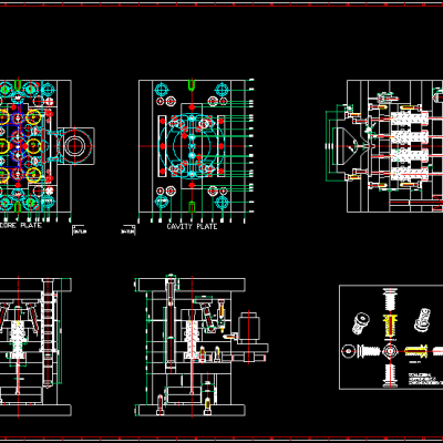
一、组立图绘制的目的
1.用于检查其结构是否合理
2.用于向客户确认模具结构是否符合客户要求
3.用于备料
4.用于粗加工
5.作为组配参考
二、绘制前应了解的信息
1、成形材质﹑收缩率﹑穴数
2、成品的分模面位置﹐进胶点位置及形式
3、是否有倒勾﹐以及倒勾的处理方式
三、绘制组立图的步骤
1、转成品视图
1)成品由3D转成2D
2)成品镜像
3)成品缩水
2、确定模仁与模坯的大小
1)先将成品进行排布﹐如果是多穴时﹐应考虑两成品间的距离 (它与热胶道﹑注口衬套﹑成品的高 度﹑进胶的方式如潜伏进胶﹑ S型流道等)
2)定模仁的大小(与成品的大小﹑高度有关﹐有时也与进胶点有关﹐如进胶点在成品的侧边)
3、绘制滑块
1)先确定好滑块的拆线
2)绘制过程中要考虑各零件的强度等问题﹐且要注意行程是否足够
4、确定模仁与模坯的大小
确定模坯的大小(根据已画好的模仁及滑块来确定)
调出模坯﹐将模仁放入﹐调整模坯高度
5、绘制斜销
先确定斜销的拆线
绘制过程中要考虑各零件的强度等问题﹐且要注意行程是否足够
6、绘制进胶点
1)根据检讨书或CAE来绘制进胶点
2)在绘制潜伏式进胶点时需注意看是否可以顶出
7、绘制模仁束块
1)尽量采用标准件
2)模仁束块不可太长﹐要注意强度问题
3)要注意不要与滑块压块干涉
8、绘制母模水路螺丝
1)在画水路螺丝前﹐应先将模仁入子画上﹐以避免因干涉而造成的后续工作的重复。
2)水路的排布应均匀﹐应该尽量采用简单的跑法。
3)需注意成品较深部位的冷却﹐可以采用水塔或者顺着产品的外形跑。
4)有热胶道的注意要有单独的水路冷热胶道。
5)螺丝应注意不要与其它零件干涉﹐特别是水路﹔
螺丝排布应尽量均匀﹐尽量排在同一条在线。
9、公模部分入子的排布
对于胶位深的部位镶入子可便于加工﹐抛光﹐排气﹐也利于以后的修模﹐设变。
当有些BOSS孔没办法做套筒时﹐可以考虑镶入子﹐但需注意排顶针。
在镶入子的同时可以将套筒也放入。
10、绘制公模顶针水路螺丝
1)顶针排布﹕成品上胶位多的地方需注意顶出﹐胶位深的部位要注意顶出与排气﹐大一些的成品应注意四个角上的顶出﹐顶针排布时应注意顶出平衡﹐顶针尽量做大
2)水路排布同母模
3)螺丝排布同母模
11、检查模具是否需要早回机构
12、模座部分零件的排布
GP ----不需要太高﹐只要高与模仁即可
EGP----它的直径尽量与RP的一致
SP ----尽量靠近射出中心﹐靠近成品
RP ----要注意弹簧选择正确﹐要验算它的荷重
STP ----排布需均匀﹐要注意避免干涉
13、尺寸的标注需要完整且准确﹐注意在标注模板高度时公差需准确
14、图面的整理﹐包括剖切符号﹐哥林柱的插入﹐胶口的放大图﹐顶针表﹐排气槽﹐图框的放入﹐MARK表的填写等。
15、图面的检查









