文件大小:399.67K
升降机由行走机构, 液压机构,电动控制机构,支撑机构组成的一种升降机设备。在垂直上下通道上载运人或货物升降的平台或半封闭平台的提升机械设备或装置。是由平台以及操纵它们用的设备、马达、电缆和其它辅助设备构成的一个整体。升降机由行走机构, 液压机构,电动控制机构,支撑机构组成的一种升降机设备。
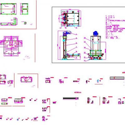
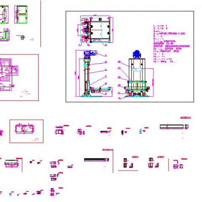
升降机全套CAD图纸组件:
1.滑軌固定座1
2.滑軌固定座2
3.地腳螺栓
4.大同MOTOR/WPDS80-1/20C
5.上限位塊
6.鋁擠型滑軌
7.提升台面655W*900L
8.STOPER 32-30
9.MOTOR M9RA40G4W/M9GA20B
10.組合軸承UCP206 2PCS
11.鏈輪RS60*22T 4PCS
12.下限位塊
13.提升正導輪
14.提升側導輪及固定座
15.配重20Kg A3鋼板









